avatartu-torials
DE
My account
DE
BACK
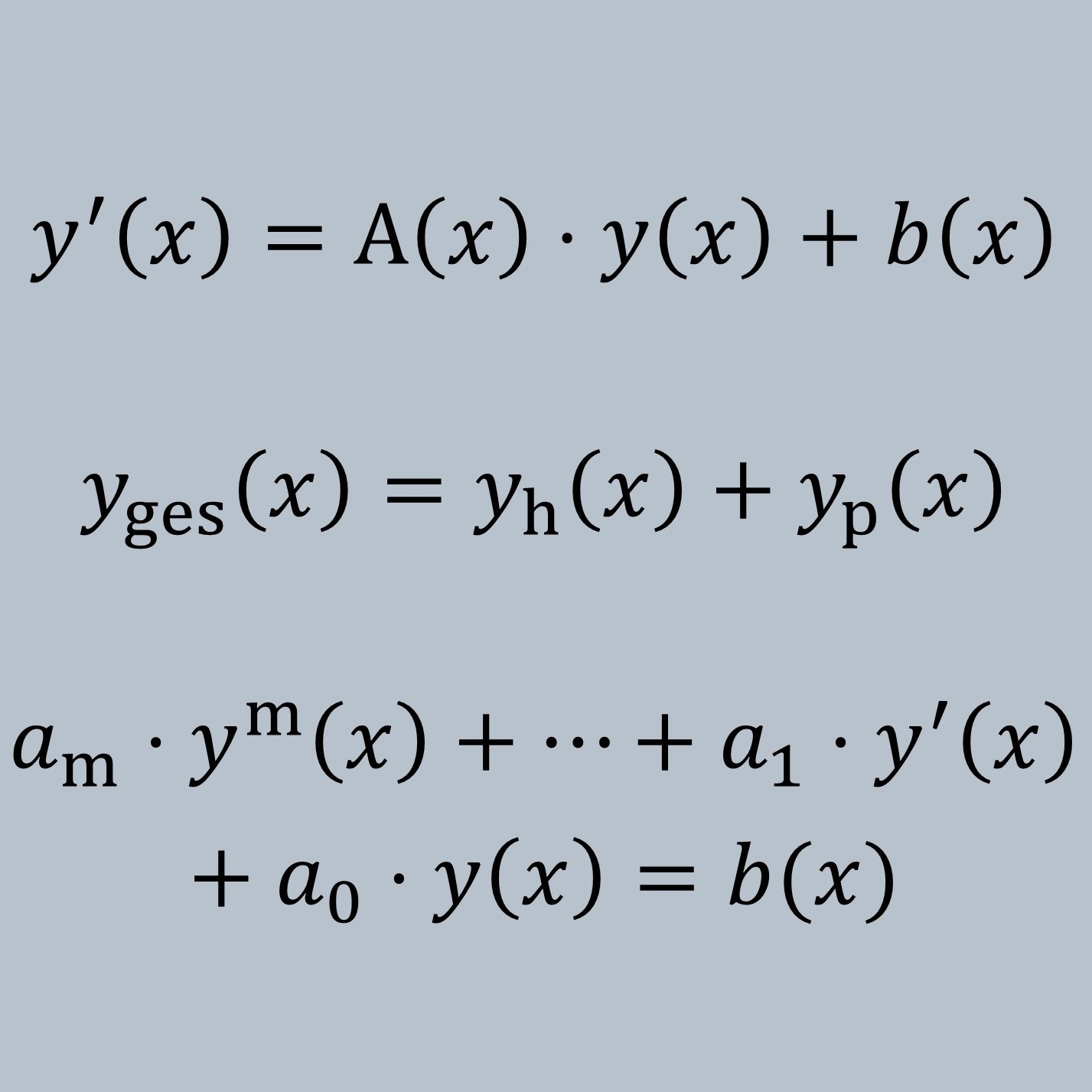
DGL 1 Kurs
DGL_2-1427x1427.jpg
20,00€
* incl. VAT (where applicable)

Rechtlich
TermsPrivacyImprintCancel contracts

Powered by

logo